Organic Phosphate Salts
Diethylene Triamine Penta(Methylene Phosphonic Acid) Pentasodium salt(DTPMP•Na5)
CAS: 68155-78-2 Dequest:2066
Formula: C9H23O15N3P5Na5 Molecular Weight: 683.2
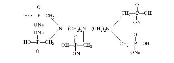
Structural Formula:

Properties:
DTPMPA•Na5 is innocuous, easy to be dissolved in acid solution,and has a perfect chelation ability. DTPMPA•Na5 can also be used as peroxide stabilizer(especially for hydrogen peroxide in the condition of high temperature),chelator in paper making and printing and dyeing, dispersing agent in pigment, stabilizer in oxygen delignification, microelement carryingt agent in fertilizer, additive in concrete. Moreover, DTPMPA•Na5 also has a widely use in paper making, electroplate, metal acid clearning, cosmetic and stabilizer in oxidizing biocide.
Specification:
|
Items |
Index | |
|
Appearance |
Transparent amber liquid |
Solid off-white to yellow powder |
|
Active content (as DTPMPA)% |
24.0-26.0 |
≥58.0 |
|
Active content (as DTPMPA Na5)% |
28.5-31.0 |
≥69.1 |
|
Phosphoric acid (asPO43- )% |
19.7-21.7 |
44.0-46.0 |
|
Chloride (as Cl-) % |
5.0 max |
10.0max |
|
pH (1% solution) |
6.0-8.0 |
6.0-8.0 |
|
Density (20℃)g/cm3 |
1.25 |
- |
Usage:
DTPMP•Na5 can be used as peroxide stabilizer, chelating agent in woven & dyeing industry, pigment dispersant, microelement’s carrying agent in fertilizer and concrete modifier. In addition.
DTPMP.Na5 is used in papermaking, electroplating, acid cleaning and cosmetics.
Packing and Storage:
DTPMP.Na5 liquid: 250kg in drum, IBC, or per customers.
DTPMP.Na5 solid: in lined with polyethylene plastic bags, 50L barrel, or per customers. Stored in a cool dry room, for ten Months.
Safety Protection:
Avoid contact with eye and skin, once contacted, flush with water immediately.
Update : 2015/2/2 10:28:05 Hits : 4222
Product category
CONTACT Us
- Address: Zhongtai Industrial Park ,Xiwangzhuang Town, Shizhong District, Zaozhuang City, Shandong Province, P.R.C
Plant Size: Small and Medium-sized
EXP TEL:0086-632-3461088
FAX:0086-632-3461077
E-mail:[email protected]
[email protected]
Name: Jin Tsui
